Nice TOSCA Meeting 2024
CEA Paris-Saclay
November 8, 2024
Motivation
Kinematic Lensing (KL)
Radio Galaxy Polarization
Relevance to TOSCA
In cosmic shear analyses, intrinsic galaxy shape is unknown.
Shape noise: source of variance
Intrinsic alignments: source of bias
Estimates of intrinsic shape can mitigate both!
Kinematics: intrinsic position angle / ellipticity / symmetries
Polarization: intrinsic position angle



Gurri et al. (2020): first KL measurement
R.S. et al. (2024): first detection of cluster lensing with KL
Hopp & Witmann (2024): model-independent KL method
leveraging kinematic symmetries
18 hand-picked galaxy-galaxy systems: \(\ev{\gamma} = 0.0201 \pm 0.0079\)
kinematic shape noise dominates uncertainty:
\(\sigma_k \sim 0.03\) vs. \(\sigma_p \sim 0.2\), so need \(\sim\) 50 times fewer galaxies*


Lower kinematic shape noise when gas & stellar velocity fields match
Point to SKA as enabler of KL at scale!




21 CM H1 survey, 30” resolution, up to z=0.1

WALLABY website, data from Serra et al. (2015)

The ALMA-ALPAKA survey I (Rizzo et al. 2023)
high-resolution CO and [CI] kinematics of star-forming galaxies at z = 0.5-3.5
Star-forming galaxies dominate observed sources
Nearby spiral polarization fractions: 1-10% (Stil et al. 2008)
polarization angle not affected by lensing

Stil et al. (2008)
Slides from a presentation by David Mulcahy

Polarized thermal emission from dust in a galaxy at redshift 2.6
(Geach et al. 2023)



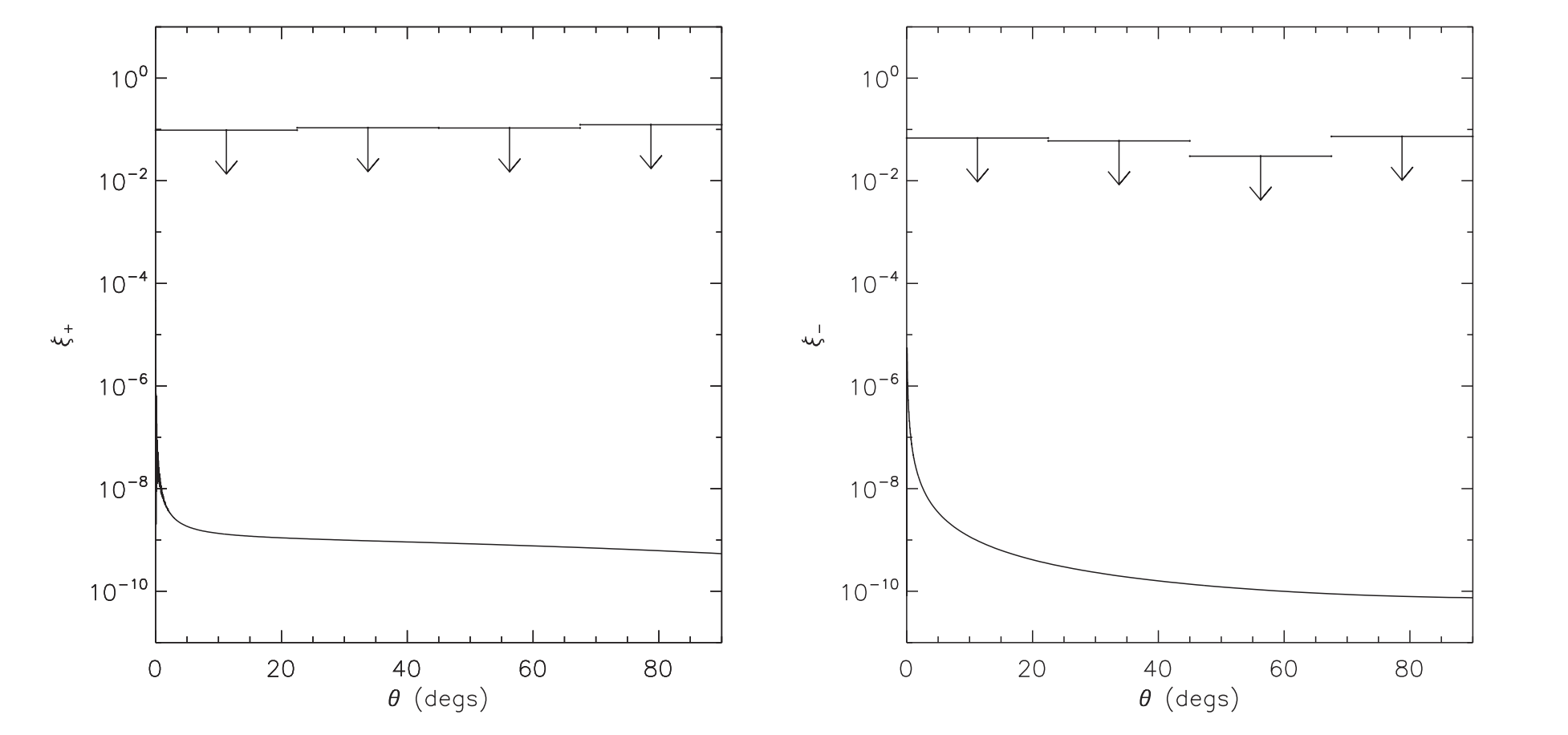
2PCF upper limits from 30 sources
Tensor & vector gravitational potentials allow for
a rotation mode \(\omega\) in addition to \(\gamma\) and \(\kappa\): 
Second-order effect in \(\Lambda\)CDM, post-Born/lens-lens coupling
Francfort, Durrer, & Cusin (2022)
Estimator based on correlation function of lensing-induced rotation itself.
For a single galaxy:
\(\alpha\) is position angle; \(\delta \alpha\) is lensing-induced rotation \[\Theta = \frac{2 - \epsilon^2}{\epsilon^2} \delta \alpha = \gamma_2 \cos 2 \alpha - \gamma_1 \sin 2 \alpha\]
For a pair of galaxies 1,2: \[\Xi = \Theta(\vb n_1, \alpha_1, z_1) \Theta(\vb n_2, \alpha_2, z_2)\]
Estimator averaging over \(\Xi, \Xi'\) pairs (4-pt?):

Observables:
Optical photometric shape
Radio intensity shape
Optical kinematics
Radio kinematics
Radio polarization
Seems not-quite-there with current datasets..
perhaps estimator proof-of-concept / recovery of null shear
could hand-pick systems,
but probably not yet interesting for cosmology in the near future
What interesting things can we do in the timescale of TOSCA?
Joint shear reconstruction (with ML?)
ASKAP pathfinders (WALLABY, POSSUM)
ALMA proposal, or archival data scraping?
Calibration

Cail Daley | Nice TOSCA Meeting 2024