Deep CosmoStat Days 2025
CEA Paris-Saclay
January 17, 2025
Introductions:
The Cosmic Microwave Background (CMB)
The South Pole Telescope (SPT)
SPT map processing:
point source mitigation
component separation




3 bands: 95, 150, 220 GHz resolution: 1.6, 1.2, 1.0 arcmin
Photo Credit: Aman Chokshi



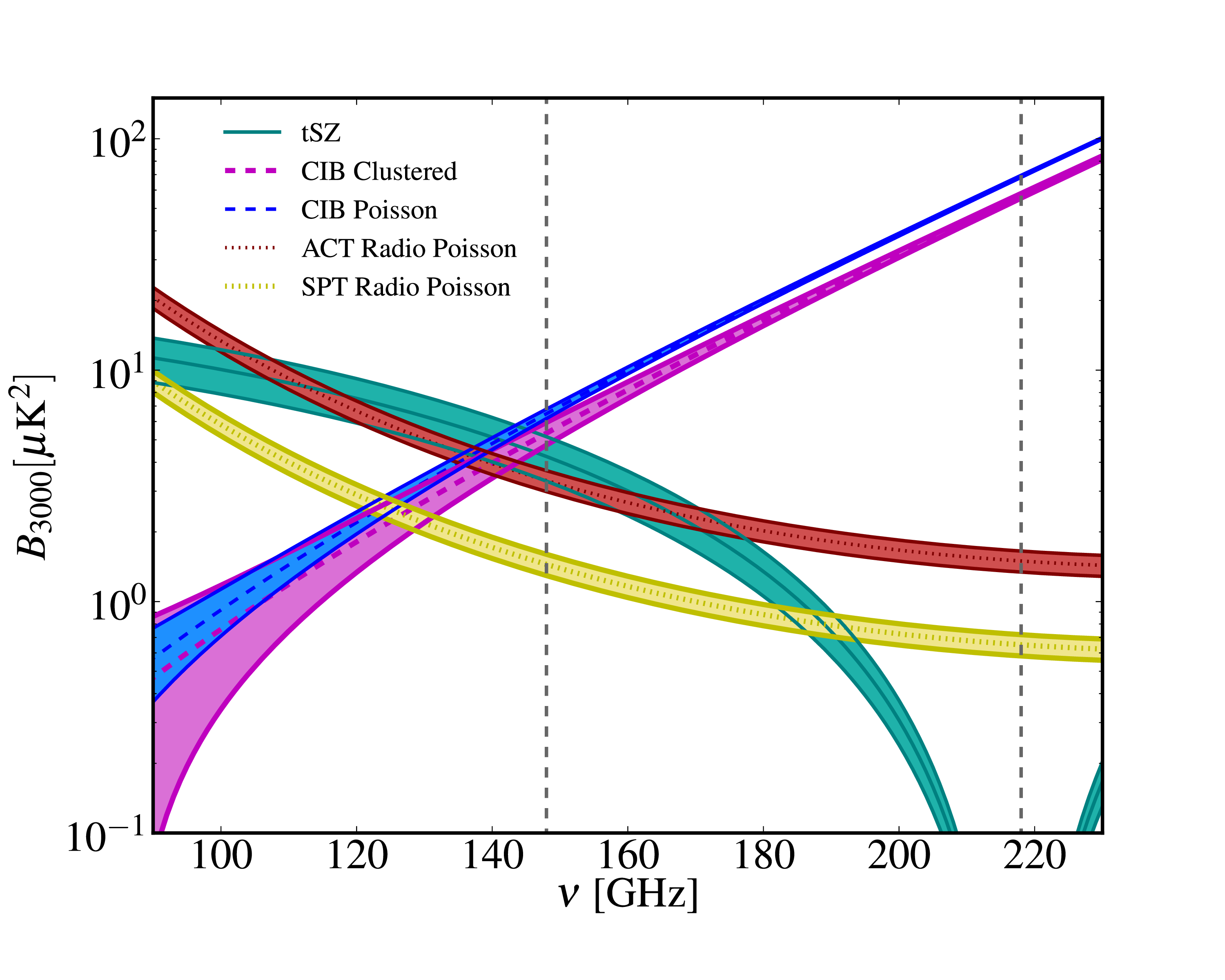
point-sources
radio (falling spectrum)
dusty (rising spectrum; CIB)
Sunyaev Zel’dovich (clusters)
temperature (falling*)
polarization (same as CMB)
SPT performs constant-decl. scans of the sky; scans recorded as 1D ‘timestreams’.
Timestreams are binned into pixels after various filters are applied:
Low-pass
High-pass (fit sines & cosines)
Polynomial fit





Ignore point source regions when applying filters to avoid “filtering wings.”
Replace point sources with Gaussian constrained realization of the CMB:
\[ X_1^{\rm inp} = X_1^{\rm sim} + \vb C_{12} \vb C_{22} ^{-1} \qty(X_1^{\rm data} - X_1^{\rm sim}) \]

1
2
Preserves 2-point statistics by construction, but not higher-order information…
\(\implies\) lensing (4-pt) estimator is biased towards zero.
Instead, subtract source template and bias-harden against point sources in the lensing estimator.
Scale-dependent linear combination (LC) of frequency bands to:
and optionally,
\[ X_{\vbell}^\textrm{MV-LC} = \sum_{i} \mathbb W_{\vbell}^{i} X_{\vbell}^{i} \]
where
\[ \mathbb W_{\vbell} = \frac{\mathbb C_{\vbell} \inv \mathbb A_s}{\mathbb A_s^\dagger \mathbb C_{\vbell} \inv \mathbb A_s}, \qquad \sum_i \mathbb W_{\vbell}^{i} = 1. \]
\(\mathbb A_s = [1 \ 1 \ 1]\)
frequency response of the CMB
\(\mathbb C_{\vbell}\): \(3 \times 3 \times \ell_{\rm max}\)
per-frequency foreground & noise covariance at each \(\ell\)



Most CMB foregrounds have different spectral response than CMB.
SPT foregrounds should be extragalactic, allowing for simple component separation techniques.
Solutions are less obvious for point sources (and interaction with our filtering)
If you have critiques of or suggestions to improve these approaches,
I want to hear them!

Cail Daley | Deep CosmoStat Days 2025