CosmoStat, CEA Paris-Saclay
Séminaire postdoc du DAp
March 11, 2025
Cosmology with the Cosmic Microwave Background (CMB)
The South Pole Telescope (SPT) and the SPT-3G camera
Recent and upcoming 2019+2020 SPT-3G results
Cross-correlations with Euclid
most distant observable electromagnetic radiation \(\implies\) early-Universe physics
illuminates the Universe’s evolution: reionization, structure growth, astrophysics..
NAOJ

Turner (2022): The Road to Precision Cosmology
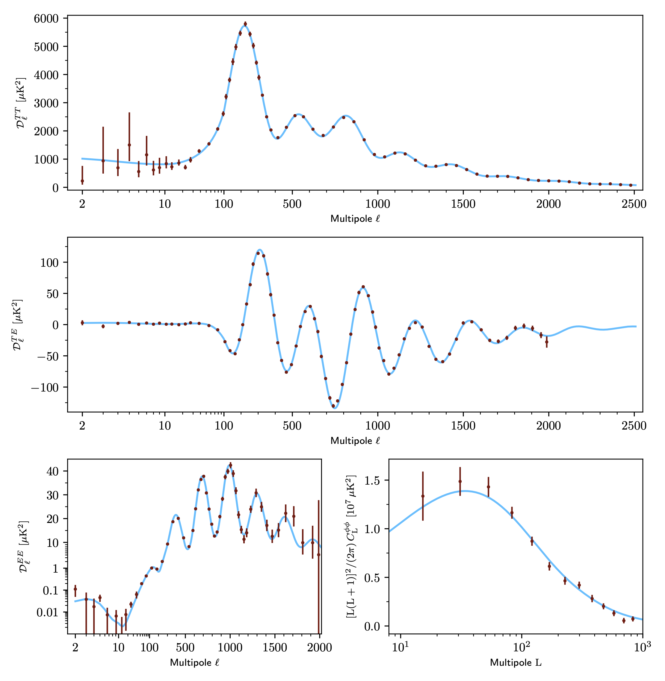
six-parameter model predicts a wide range of cosmic observables:

but we don’t much about \(\Lambda\) or CDM!

Planck is noise-variance-limited beyond:

SPT BICEP/Keck
Aman Chokshi

ACT
Debra Kellner
| \(f_{\rm sky}\) (effective) |
resolution (arcmin) | sensitivity (\(\mu\)K-arcmin) |
|
|---|---|---|---|
| Planck | 0.67 | 5.0 | 27 |
| ACT | 0.23 | 1.0 | 12 |
| SPT | 0.035 | 1.0 | 1.9 |
| B/K | 0.014 | 21 | 3 |
*crude summary of CMB experiments

3 bands: 95, 150, 220 GHz
resolution: 1.6, 1.2, 1.0 arcmin
SPT-SZ (2007) SPTpol (2012) SPT-3G (2017)
~1000 detectors ~1500 detectors ~16,000 detectors
Photo Credit: Aman Chokshi

Maps used by three
independent pipelines:
Traditional TT/TE/EE power spectrum
Traditional quadratic estimator (QE) lensing
MUSE: Bayesian joint inference of cosmology, systematics, and pixels
(Marginal Unbiased Score Expansion)
Accepted as of last week! arxiv:2411.06000
Marginalize over CMB \(f\) and lensing \(\phi\)
maps/pixels to determine parameters \(\theta\):
\[ \mathcal{P}(\theta \mid d)=\int \mathrm{d} f \mathrm{~d} \phi \, \mathcal{P}(f, \phi, \theta \mid d) \]
Algorithm similar to simulation-based inference (SBI) with semi-analytic compression statistic.

Fei Ge Marius Millea

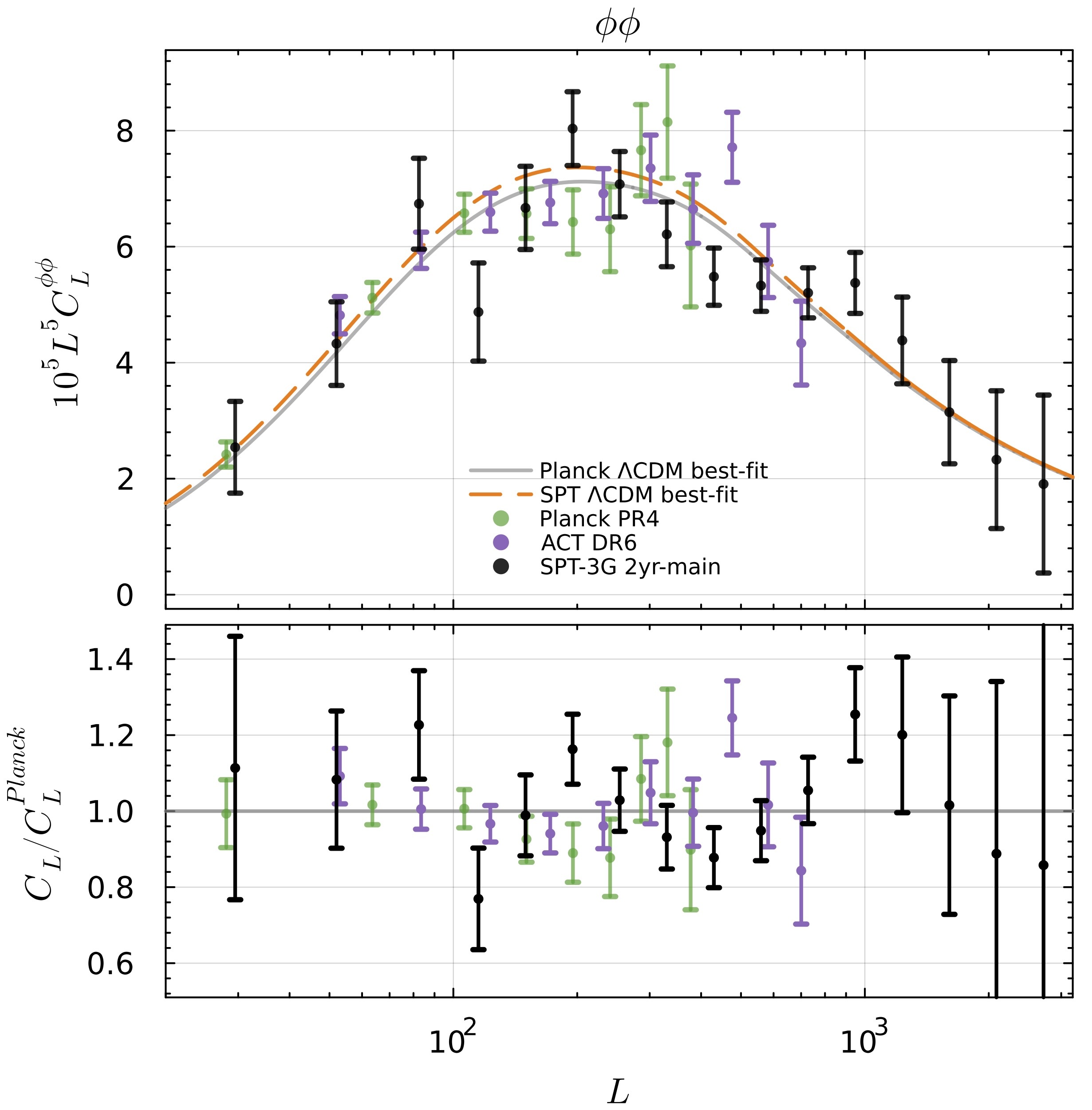
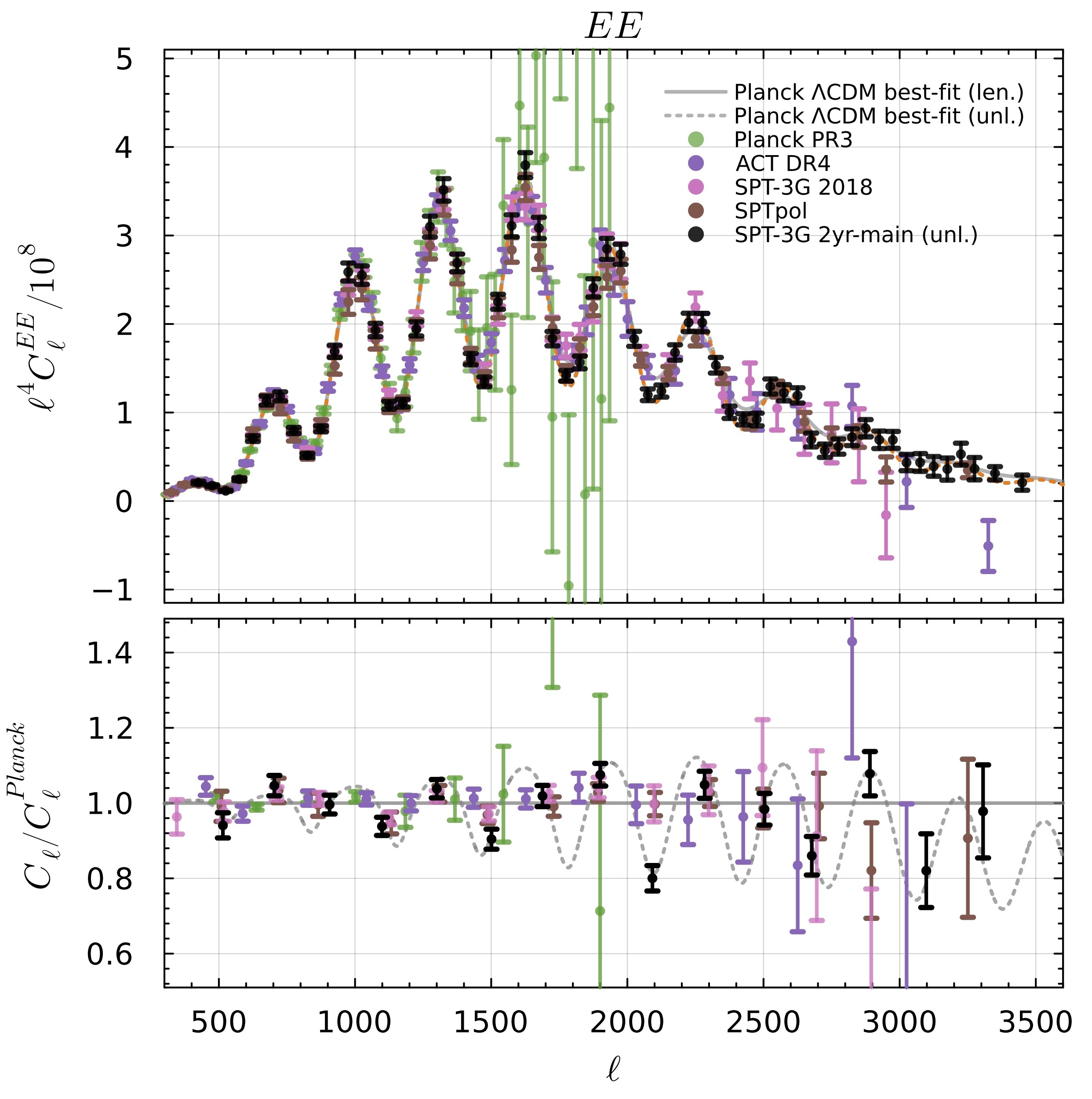
EE & \(\phi\phi\) bandpowers in agreement
with \(\Lambda\)CDM and Planck.
Blinded analysis
with post-unblinding beam change:




\(A_{\rm mod}\) to scale the non-linear
matter power spectrum:

Planck T&E + SPT\(\phi\phi\) gives first \(3\sigma\) detection of non-linear structure
with CMB lensing!

Decreasing neutrino mass enhances structure (measured by \(\phi \phi\)).
CMB prefers more lensing power than predicted by \(\Lambda\)CDM given BAO.
\(\implies\) low \(\sum m_{\nu}\) when allowed to vary.
\(A_{\rm recon}\): scales lensing power used to predict lensed CMB power spectra
\(A_{\rm 2pt}\): scales lensing power used to predict lensed CMB power spectra
\(A_{\rm lens}\): if \(A_{\rm recon} = A_{\rm 2pt}\)




Targeting publication this summer.
As a taste, mock SPT-3G TT/EE/TE + polarization-only lensing compared to MUSE and Planck.
Joint constraints on \(\Lambda\)CDM parameters will be comparable to Planck!



Myself




Federico Bianchini
1.3% measurement of \(\sigma_8\) from SPT-3G lensing + DESI BAO alone!
SPT-3G lensing: large scales, high \(z\)
(mostly linear)
Cosmic shear: smaller scales, low \(z\)
(mostly non-linear)
Cross-correlation bridges the gap

SPT-3G lensing
DES Y3 bin 4
SPT has observed Euclid Deep Field South (EDFS) and is planning a release of:
temperature maps and general products
emissive source catalogs
cluster catalogs
~alongside the Euclid Q1 release.


I am working on lensing maps to be cross-correlated with Euclid Q1 data:

Will be useful pathfinding for Euclid DR1+ cross CMB analyses.
The CMB still has a lot to tell us about the Universe:
SPT-3G Main 2019+2020:
MUSE polarization-only results are consistent with Planck \(\Lambda\)CDM
coming temperature+polarization constraints will be comparable to Planck!
Cail Daley | DAp Postdoc Seminar | March 11, 2025